是否纠结过这样的问题:全伤、全易伤、物理/元素伤害、物理/元素易伤、独∘立易伤究竟哪个更好?但本质上,他们都是一个东西~ 因此,本文就来带大家探讨各种加成的计算、稀释、收益相关的问题,希望大家看完后能对伤害机制有个认识。
注:以下均为个人理解,如有错误还望指正~
开始前,不妨先来看看伤害是如何出来的,伤害的源头自然就是角色的攻击力面板,然后乘上倍率这就有了最基础的伤害,然后再乘上角色/装备/家园/神之键等的“各种加成”,再乘上是否克制即可得到结果。需要注意,一般的敌人都是有元素抗性和物理防御力或者护盾的,即你打出去的伤害均会浪费掉一部分。
这里的重点自然是“各种加成”到底有哪些?目前游戏里有8种常见加成,可以划分为BUFF和DEBUFF。BUFF就是对自身的加成,而DEBUFF可以理解为给敌人施加某种特殊状态,在这个状态下,你打敌人伤害就会变高。

1、全伤害加成
最经典的自然赤鸢上的圣痕效果“场上只用一个敌人时,全伤害提高31%”。全伤害是一个很通用的伤害,适合所有类型的角色(物理/冰/火/雷)。

2、物理/元素伤害加成
物理伤害,就是物理伤害提高XXX%,比如萧云下“生命值大于等于100%,物理伤害提高46%”,适用于物理角色。
元素伤害,就是冰/火/雷元素伤害提高XXX%,比如艾琳上“雷元素伤害提高20%”,适用于元素角色。需要注意,一些圣痕描述为全元素伤害提高XXX%,最后都会换算成同一属性的伤害然后加在一起。

3、元素穿透
降低敌人的元素抗性,给自身一个无视敌人部分元素抗性的BUFF,目前只有云墨必杀技、理律、雷律、炎律进入律者状态有元素穿透,是非常稀缺的加成。

4、脆弱
降低敌人的防御力(DEBUFF),从而增加物理伤害,而且脆弱可以被覆盖。
5、全易伤
对敌人施加的一种DEBUFF,比如一些圣痕/技能描述里的“使敌人受到的全易伤提高XXX%”,目前这方面的加成较少,常见有牛顿下、泳装中等。

6、物理/元素易伤加成
对敌人施加的一种DEBUFF,比如经常看到一些圣痕描述“使敌人受到的物理/火/雷/冰/全元素伤害提高XXX%”,也是比较少见的加成。一些圣痕描述里的全元素最后也会转化为对应元素,然后加在一起。常见的比如亚斯拉琪下、帕格尼尼两件套等等。

7、独∘立易伤加成
独∘立计算的一种DEBUFF,比如一些技能描述中“使敌人受到的伤害提高XXX%(该效果为独∘立加成)”,一个独∘立易伤就是一个单独乘区,伤害提升幅度仅次于元素穿透,也是非常稀缺的加成。

8、物理穿透
仅出现在乐土中,比如救世刻印,物理穿透提高25%,与脆弱一样作用于敌人防御力,通俗来说就是降低物理抗性(防御力)。

现在知道了有哪些加成,那么把这些乘在一起不就是伤害了吗?比如元素角色的元素伤害:

——式(1)
而物理角色则不用考虑元素抗性,但要考虑敌人防御、护盾情况,因此物理角色的物理伤害:

——式(2)
TIPS:加成的基本原则就是同类型的加成相加,不同类型的加成相乘,独∘立易伤单独开乘区。
那为什么说这些加成本质上是同一个东西?上面的等式给出了解释,即大家都是一样乘区,自然没有孰优孰劣之分,只有穿透乘区不同,并且敌人元素抗性越高,元素穿透就越有价值(下文解释)。
诶,那不对啊,明明多个易伤伤害能高很多啊,怎么就是同一个东西呢?一般易伤非常少见,一些角色甚至没有易伤,此时多了个乘区,伤害翻了(1 + 易伤加成)倍,并且也是因为易伤少,不容易稀释(后面解释),伤害提升幅度大。相应的,假如你角色一点全伤没有,那么增加全伤,伤害就能翻(1+全伤害加成)倍!你看,和易伤不就同一个东西了嘛。
举个乐土中的例子:乐土中的伤害加成与角色装备是互相独∘立的,也就是说你角色先打出一个完整的数字在乘上乐土中的各种刻印提供的加成,而最开始肯定什么加成都没有,那么你最开始选全伤、易伤、元素/物理伤害意义其实都一样,都是伤害翻(1+XXX加成)倍,而最开始挑数值最高的选就能得到最高的伤害。
那伤害稀释是怎么一回事?在解释这个问题前,我们不妨考虑若伤害加成总和确定,如何让式(1)最大,我们抛开面板倍率、元素穿透、独∘立易伤、克制加成,也就相当于想让下式最大:

自然:

即各伤害加成均衡,然而游戏里上是这样嘛?显然不是,一般的角色拥有很高的元素/物理伤害加成,全伤次之,再过来是少量元素/物理易伤,再过来是全易伤(几乎没有)。
那么这就造成了各乘区不平衡,此时往数值多的乘区里面疯狂堆加成必然会小于往数值小的乘区堆加成,这可以用很简单的一个不等式来解释(即两个乘区,a为加成数值)

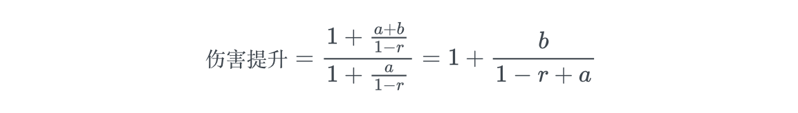
再谈稀释,假若角色一开始没有任何加成,此时加个初始全伤害加成a,那么伤害就会提升(1+a)倍,在此基础上,再增加b的全伤害,那么伤害会从原来的(1 + a)倍变为(1+ a + b)倍,那伤害提升了多少呢?只有:

会发现,这个伤害提升小于我们期望提升的(1 + b)倍,并且当初始的a越大,即稀释越严重,伤害提升幅度就越小,与期望差距就越来越大,这便是稀释的含义。
举个例子:
若角色携带牛顿上,提供46%的物理伤害加成,不考虑角色自身其他加成的情况下,整体伤害就会提升了(1 + 0.46) = 1.46倍。此时再携带普朗克中,提供51%的物理伤害加成,我们期望伤害在牛顿上的基础上再提高(1 + 0.51) = 1.51倍,然而实际提高的情况则是(1 + 0.46 + 0.51) / (1 + 0.46) = 1.349,即仅提升了1.349倍。
到这里,我们就可以解释为什么全伤、物伤、易伤都是同一个东西,但易伤价值却更高,即——这个乘区里的加成少,数值低,提升空间最大。而独∘立易伤直接就是新开一个乘区,伤害直接提高(1 + 独∘立易伤加成)倍,提升更大。对于稀释,我们可以由此回答一系列的问题,比如1%易伤会等于百分之多少全伤?
再谈元素穿透。穿透的本质是减抗,降低敌人元素抗性以增加总伤害。我们知道一般的敌人是有元素抗性的,元素角色所有伤害都会有一部分消耗在敌人元素抗性上,体现出来就是乘区(1 - (敌人元素抗性 - 元素穿透)),需要注意,穿透数值超过抗性的部分是无效的!而敌人元素抗性,目前红莲一般在53%~55%左右,扰动越高敌人的元素抗性提升幅度越小。
那对于元素角色,为什么说元素穿透提升是最高的呢?由于穿透乘区的特殊性,我们可以将其换算成一个独∘立易伤乘区以描述伤害的提升情况,其数值为x,则:

TIPS:独∘立易伤是单独的一个乘区,可以直接表示伤害的提升幅度,比如上式左边表示伤害提升了(1 + x)倍。
当敌人元素抗性越高,1%元素穿透所带来的提升就能等价于更多的独∘立易伤带来的提升,并当敌人抗性趋于100%时,其等价的独∘立易伤趋于+∞!不过红莲敌人一般不到55%抗性,那么1%元素穿透所带来的提升就也就等价于2.2%不到的独∘立易伤带来的提升。在此抗性下,S0云墨14%的元素穿透带来的提升就是(1 + 0.3)=1.3倍。

▲ 图1 1%穿透下敌人抗性提升所对应的提升幅度
那元素穿透也会有稀释吗?会的,我们假设敌人元素抗性为r,若元素穿透为a,那么在此抗性下,伤害提升幅度为:1+a / (1 - r)倍。此时再来元素穿透b,伤害提升幅度为:1 + (a + b) / (1 - r)倍。提升了多少呢?只有:

会发现,a越大,伤害提升幅度就越小,并且依旧是小于我们期望的1 + b / (1 - r)倍。但在同等数值下,穿透的提升幅度依旧大于任何增伤乘区带来的提升。
那物理的脆弱又是怎么一回事呢?如果说元素穿透是降低敌人元素抗性,那脆弱自然是降低敌人的防御力。物理伤害不需要考虑元素抗性,但需要考虑敌人防御减伤、敌人护盾减伤,还有额外的暴击伤害,即式(2)中的:

而防御减伤、护盾减伤、暴击计算方式如下:

暴击率计算公式为:暴击率 = 会心值 / (75 + 5 * 女武神等级) + 暴击率加成。
注:来源吼姆攻略组
回到脆弱,想要算脆弱那么就得知道敌人的防御力,比如测试木桩的物理防御为3810,若攻击角色为80级,那么防御减伤变为33.27%,而脆弱就是降低敌人防御力,敌人防御力越低防御减伤越低,造成的伤害就越高。例如脆弱降低敌人75%防御,那么测试服木桩敌人的物理防御就仅有795,此时防御减伤增加至70.5%,整体伤害提升了1倍多。
那脆弱的提升又是怎样的?同样将脆弱数值换算成独∘立易伤,其中值为x,则有:

注意到t = 300 + 20*攻击者等级,为常数,若敌人物理防御为3810,则有1%的脆弱带来的提升等价于0.67%独∘立易伤,并且随敌人的防御力变化非常小。但随着脆弱百分比的增加,大于50%时会获得超过独∘立易伤的收益,但最多为2倍独∘立易伤收益!即对总伤害提升了2倍。

▲ 图2 脆弱所带来的提升变化
物理穿透与脆弱有是什么关系呢?而物理穿透与脆弱一样,也作用于敌人的防御力,计算方式类似于元素穿透,并与脆弱为乘性关系。即:

举个例子:
在乐土中,救世提供25%物理穿透,识律提供75%脆弱,设敌人物理防御为A,那么25%物理穿透就是降低敌人25%的防御力,即防御力变为A' = A * (1 - 0.25) = 0.75 * A 。在新的防御力基础上,再计算脆弱,即A' (1- 0.75) = 0.25 * A' 。总的降低数值为1 - 0.25 * A' / A = 1 - 0.25 * 0.75 = 0.8125。可以发现25%的物理穿透作用到75%脆弱中也就将敌人的防御力降低至81.25%,结合上面的结论,用最通俗的话来说,在75%脆弱的前提下,25%的物理穿透仅给你提供了17.6%的独∘立易伤,对总伤害仅提升了1.176倍,并未达到想要的1.25倍,故提升相对来说是比较小的。通常在已有脆弱的前提下,物理穿透带来的收益甚至不如一个普通的物理伤害加成刻印!
以上介绍了那么多,相信大家对加成、稀释、穿透等概念有一定的认识,初步了解伤害计算机制也能在装备搭配、阵容搭配或乐土刻印选择时有一定的启发。
要不算一遍?计算前,我们来简单捋一下基本步骤:
① 找到角色攻击力面板,不过攻击力会出现小数的情况,计算时记得考虑小数;
② 找到对应攻击的倍率;
③ 统计角色技能对该攻击的加成;
④ 统计武器、圣痕对该攻击的加成;
⑤ 统计勋章加成、神之键加成、家园加成,以及属性克制加成和关卡技能加成;
⑥ 代入公式(1)或公式(2)计算元素伤害或者物理伤害;
这里以SS炎律进入律者状态下释放的必杀技攻击为例子,首先是攻击力:1513,实际攻击力为1512.4。

其次倍率,炎律必杀技倍率为2150%。顺便一提,一些文案里描述的3*100%并不是指一段300%倍率的攻击,而是3段100%倍率的攻击。

来看角色、武器、圣痕对于必杀技的加成(老老实实翻角色技能和圣痕、武器技能描述),则:

再来看家园里的加成:5%全伤,17%火元素伤害

再来看神之键加成:6%火伤

再来看勋章的加成:1%全伤

测试服木桩元素抗性55%(与目前420左右红莲敌人元素抗性几乎一致),敌人无属性,有属性则接着计算克制加成,另外深渊天气其实也是一个新的乘区,乘上即可。
TIPS:关于敌人抗性的计算,可以先计算理论伤害,在测出实际伤害,敌人抗性=(1 - 实际伤害 / 理论伤害)。
因此,代入公式,理论必杀技伤害为:335572

OK,去打一下桩:335192,差了些伤害,个人猜测问题出在元素抗性上或者穿透,比如炎律的元素穿透为17.9288%或敌人抗性为55.0712%时,伤害刚好能对得上。

转载自莉リヤ